Contoh Soal Ukuran Penyebaran Data Statistik

Contoh soal ukuran penyebaran data statistika, contoh soal ukuran penyebaran data tunggal, contoh soal ukuran penyebaran data, contoh soal ukuran penyebaran data tunggal, contoh soal ukuran penyebaran data, contoh soal ukuran dispersi statistik, contoh soal ukuran pemusatan, contoh soal ukuran lokasi, contoh soal ukuran derajat, contoh soal ukuran variasi, contoh soal ukuran sudut, contoh soal ukuran letak data, contoh soal ukuran statistik, contoh soal ukuran dispersi, contoh soal logaritma, contoh soal cpns 2019, contoh soal toefl, contoh soal psikotes, contoh soal tes potensi akademik, contoh soal matematika, contoh soal sbmptn, contoh soal psikotest, contoh soal tpa, contoh soal integral,


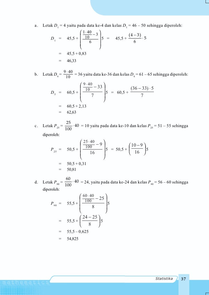
Statistika Matematika - Ukuran Penyebaran Data Belajar via belajar-soal-matematika.blogspot.com
Statistika Matematika - Ukuran Penyebaran Data  Belajar

4. Diagram Batang Daun via babakan-surabaya-4.blogspot.com
4. Diagram Batang Daun

Pipit Salindri / 24 - Penyajian Data Dalam Bentuk Diagram via fosfor-ipa4.blogspot.com
PIPIT SALINDRI / 24 - PENYAJIAN DATA DALAM BENTUK DIAGRAM

Ukuran Penyebaran Data: Jangkauan, Hamparan, Kuartil via idschool.net
Ukuran Penyebaran Data: Jangkauan, Hamparan, Kuartil

Ukuran Pemusatan & Ukuran Penyebaran via www.slideshare.net
Ukuran pemusatan & ukuran penyebaran

Silabus Matematika Smp Kelas Ix [revisi] via www.slideshare.net
Silabus matematika smp kelas ix [revisi]

Contoh Soal Korelasi Statistika Unikama via statistikaunikama.blogspot.com
Contoh Soal Korelasi  Statistika UNIKAMA

Ukuran Variasi Atau Dispersi (penyebaran) via www.slideshare.net
Ukuran variasi atau dispersi (penyebaran)

Cover Modul & Lks Mat Kls 3 via www.slideshare.net
Cover modul & lks mat kls 3

Matematika Untuk Sma Dan Ma Kelas Xi Program Ipa via www.slideshare.net
Matematika untuk sma dan ma kelas xi program ipa

Abdan Fahreza: Artikel Statistika Deskriptif via abdanfahreza.blogspot.com
Abdan fahreza: ARTIKEL STATISTIKA DESKRIPTIF

Silabus Matematika Smp Kelas Ix [revisi] via www.slideshare.net
Silabus matematika smp kelas ix [revisi]

Rumus Mean Median Modus Untuk Data Tunggal Dan Berkelompok via www.matematrick.com
Rumus Mean Median Modus untuk Data Tunggal dan Berkelompok


Random Image



Related Posts To Contoh Soal Ukuran Penyebaran Data Statistik


Contoh Soal Ukuran Penyebaran Data Statistik Rating: 4.5 Posted by: egamartho

Search Here

Popular Posts

Total Pageviews

Recent Posts

Partners